作者:紅星機器 時間:2010-10-06 更新時間:2010-10-06
如果您想了解我們的產品,可以隨時撥打我公司的銷售熱線或點擊下方按鈕在線咨詢價格!
立即撥打電話享更多優惠:0371-67772626
鋼球落下沖擊礦石的能量,來自它落到終點時的動能。此動能的大小,決定于鋼球的落下高度。而磨機的轉速又決定著鋼球的落下高度,所以決定磨機轉速的方法直接和分析鋼球落下時的動能有關。由圖3-2-11可知,鋼球落下高度H值為
![]()
因為球是自由落體,所以到達落回點B的垂直速度為
由公式(2-1)可知
球下落時的水平分速度為
因此,它們的合速度為
即:
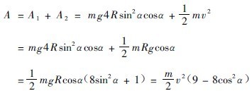
設球的質量為m,它在落回點B 的動能為
不難證明,此動能即磨機將球由落回點B提升到脫離點A所作的功(A1),和自脫離點用速度v將球拋出所作的功(A2)。因為
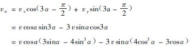
當鋼球以速度vp到達落回點時,它的動能分解為兩部分:一部分沿打擊線OB(通過物體的打擊接觸點,并垂直于接觸面的直線)沖擊礦石;另一部分與打擊線垂直,使鋼球沿切線方向運動,這部分使礦石受磨剝而沒有沖擊作用。如果把vp分解為沿打擊線的徑向分速度vn和沿切向分速度v1,求出這兩個分速度,就可以知道沖擊礦石的能量和磨剝礦石的能量各占若干。
將速度vp的水平分速度vx,和垂直分速vy投到徑向分速度vn的方向上,則
將此式展開及化簡后,整理成
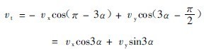
將vx和vy投到切線分速度v1的方向上,則
照上式的方法,將vx和vy代入,經化簡和整理后,得到
切向分速度v1和法向分速度vn,在不同的落回點的方向和大小都是不同的,如圖3-2-12所表示的。從圖中可以看出,磨機轉速越大,同一層球上升越高,脫離角越小。當脫離角為
時,該層球的轉速率為75%,v1=0,而vn=vp,切線分速度正在改變方向,已知各落回點的vn,就可算出沖擊礦石的動能為:


上一篇:決定磨機轉速的方法